複層ガラスの防音効果/基礎知識、対策、ペアガラスの選び方

複層ガラスの防音性能

複層ガラス

複層ガラスは、2枚以上のガラスがそれぞれ「中空層」と呼ばれる空間を保ち構成されるガラス製品です。そのガラスの組み合わせや、中空層の厚み中空層の中の気体の有無・種類などによって、バリエーションが無数にあります。

各社メーカーからは、既製品として名称がついたものがありますが、それはほんの一握り。カスタマイズをしようと思えば様々な工夫ができます。

「複層ガラスの防音性能は大丈夫かどうか」「どういう製品が遮音に優れるのか」、このようなご相談をお客様からよくいただくので、こちらのページで、窓の防音と複層ガラス選びで気をつけること、オススメの商品を解説していきます。

複層ガラスの防音性能のポイント
  • 低音域ではガラス同士の「共鳴」で遮音性能が落ちることがある
    (このあと「共鳴透過現象」を解説します)
  • 高音域では「コインシデンス効果」で遮音性能が落ちることがある
  • それ以外の中間の周波数域では、ガラスの重量に基づいて遮音効果が見られる
    (単板よりも厚みのある複層ガラスのほうが遮音効果が高い)
  • 当社では遮音に特化したフィルムを仕込んである「防音ペアガラス」が推し
  • 複層ガラスのガラス同士の厚みをズラす「異厚複層ガラス」という選択肢もある

複層ガラスで防音を意識するなら「防音ペアガラス」

防音複層ガラス(防音ペアガラス)

詳しい話はこのあとに詳しく解説しますが、結論は遮音目的であれば防音に特化した複層ガラスを選ぶのが良いです。

ガラスの遮音の基本は「質量則」

ガラスの遮音性能を調べると、よく「質量則」「コインシデンス効果」「低音域共鳴透過」という3つのキーワードが出てきます。難しく考えず、1つずつ説明していくので安心してください。基本は、質量則と呼ばれる法則に沿った性質があります。

ガラスの遮音性能の基本「質量則」
  • ガラスは周波数が高い音をより防音してくれる
  • 同じ騒音に対しては、ガラスの厚みが増すほど遮音効果が高くなる

質量則通りに防音効果が出ない原因が2つ

ただし、ある音域になると、質量則のように防音効果を得られないことがあります。その原因が「コインシデンス効果」「低音域共鳴透過」という2つの現象です。

複層ガラスの遮音性能が著しく落ちる2つの現象「低音域共鳴透過」「コインシデンス効果」
単板ガラス
の場合
  • コインシデンス効果の影響を受ける
複層ガラス
の場合
  • 低音域共鳴透過の影響を受ける
  • コインシデンス効果の影響を受ける

これを見ると、「複層ガラスが良くない…」というイメージを持つかも知れませんが、質量則がはたらく周波数の音では、単板ガラスよりも防音効果が見られます。

複層ガラスを入れる方は断熱性能も期待する方が多いので、総合的に見ると、今後の選択肢は複層ガラスが良いですね。

複層ガラスの遮音の敵は「コインシデンス効果」「低音域共鳴透過」

まず、「コインシデンス効果」「低音域共鳴透過」の言葉の意味から説明しますね。

「コインシデンス効果」とは
複層ガラスの遮音性能が落ちる原因の1つ「コインシデンス効果」

あらゆる物質には、音を通しやすい周波数があります。この、特定の周波数で音を透過してしまう現象を「コインシデンス効果」、コインシデンス効果が起きる周波数を「コインシデンス限界周波数」といいます。

例.

ガラスの厚み コインシデンス限界周波数
3ミリ 4,000Hz
5ミリ 2,400Hz
10ミリ 1,200Hz

薄いガラスの場合、コインシデンス限界周波数は高めで、厚いガラスの場合、コインシデンス限界周波数は逆に中低音域になります。

「低音域共鳴透過」とは
複層ガラスの遮音性能が落ちる原因の1つ「低音域共鳴透過」

低音域共鳴透過は、単板ガラスでは生じず、複層ガラスで起きる現象です。

小学校の理科の授業で「共鳴」という言葉を習い、片方のおんさを叩くと、もう片方のおんさも鳴る実験をしたことがあると思います。

複層ガラスでもこれと同様の現象が起き、単板ガラス同士が共鳴を起こす周波数があります。これは低周波数の音域で起きる現象で、ガラス同士の厚みが同じだと共鳴しやすくなります。

この低音域共鳴透過が起きる周波数を「共鳴透過周波数」といいます。

防音性能が落ちる周波数を求める計算ツール

ここからが大事なところで「遮音性能が著しく落ちる周波数をどのように求めるのか」。公式があるのですが、計算が大変なのでこちらのツールをお使いください。

複層ガラスは、それを構成するそれぞれのガラスの厚みを変えることができます。異なる厚みのガラスで構成された複層ガラスということで「異厚複層ガラス」と呼ばれたりします。

コインシデンス限界周波数の求め方
単板ガラス
の場合
12000 ÷ ガラスの厚み(ミリ)
合わせガラス
の場合
1.3 × 12000 ÷ ガラスの厚み(ミリ)
複層ガラス
の場合
複層ガラスを構成するそれぞれの板ガラスのコインシデンス限界周波数にコインシデンス効果が現れる

※ 上記の計算式での算出値は近似値です

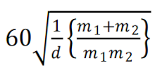
共鳴透過周波数の求め方
ガラスの共鳴透過周波数の計算公式

d:中空層幅 (m:メートル)
m1:1つ目のガラスの面密度 (kg/㎡)
m2:2つ目のガラスの面密度 (kg/㎡)
※ 中空層が気体である場合の近似式

異厚複層ガラスにしたときの落とし穴

共鳴透過周波数をなるべく低くしようと、一方のガラスの厚みを厚くしてみるとどうですか?今度はコインシデンス限界周波数が下に下がってきますよね。天秤のような関係で、どちらを工夫するとどちらに影響が出て、実際は難しいです。

例.

1枚目のガラス 5ミリ
空気層 6ミリ
2枚目のガラス 5ミリ
コインシデンス
限界周波数
1枚目のガラス:
2400Hz
2枚目のガラス:
2400Hz
共鳴透過
周波数
310Hz

例.

1枚目のガラス 5ミリ
空気層 6ミリ
2枚目のガラス 10ミリ
コインシデンス
限界周波数
1枚目のガラス:
2400Hz
2枚目のガラス:
1200Hz
共鳴透過
周波数
268Hz
異厚複層ガラスにしたときの落とし穴 - 厚みが違うガラス板それぞれで「コインシデンス効果」が生じる

共鳴透過周波数は310Hzから268Hzになったものの、コインシデンス限界周波数が2400Hzだけだったのが、2400Hzと1200Hzになりました。

だからこそ当社は「防音ペアガラス」推し

複層ガラスを構成するガラスの厚みを変えたり、空気層の厚みを増すことで、防音性能を高めることはできますが、ある音域に対してその遮音効果が著しく低下してしまったり、となかなか難しいものです。

防音複層ガラス(防音ペアガラス)

当社では根本的に防音機能があるガラスとして「防音ペアガラス」をお客様にオススメしています。

複層ガラスの一方のガラスを、遮音性能のあるフィルムを使った合わせガラスにしてあることで、そもそも遮音できる構造になっています。

当社の複層ガラスラインナップ

当社で取り扱っている複層ガラスのラインナップです。こちらに載っていないオーダーメイドも行っていますので、遠慮なくご相談くださいませ。

複層ガラスの関連ページ

複層ガラスのことは、他にもこちらのページでもご覧いただけます。お客様からご相談をいただくことを解説していますので、ご覧ください。

最終更新日: